Библиотечная деятельность сегодня интенсивно меняется. Должно ли вслед за эти меняться облик и планировка библиотечных зданий? И если да, то в соответствии с какими принципами?
Особую роль в организации работы библиотеки, несомненно, играет пространство, в котором разворачивается библиотечная деятельность. Организация отдельных помещений и здания библиотеки в целом заслуживает особого внимания как со стороны библиотечных работников, так и со стороны архитекторов, специалистов-проектировщиков.
Пространство реальное и виртуальное
Библиотечные работники и архитекторы-проектировщики смотрят на вопрос организации библиотечного пространства по-разному. Работник библиотеки формирует пространство виртуального характера: образ пространства предстаёт «в ролях», в движении участников процесса, в результатах проводимой работы, в описании атмосферы, которая должна царить в помещениях. Архитектор же создаёт реальное, материально ограниченное пространство. И, описывая это пространство, выделяет значимые для себя признаки и характеристики, использует профессиональные понятия и категории. Конечный образ складывается из параметрических значений материальных объектов и мест, необходимых участникам процесса. Для архитектора одно из ключевых понятий — функция*, для реализации которой создаётся материальное пространство.1 Следующее важное понятие — технология деятельности, которая обеспечивает эффективное выполнение этой функции.
Библиотека — это «учреждение культуры, где собираются и хранятся фонды печатной продукции, производится её специальная обработка, распространение, организация использования в обществе».2 Реализация этих двух основных функций библиотеки (сбор и хранение документов и обеспечение доступа к фондам) происходит в определённой последовательности, то есть с соблюдением технологии. Архитектор создаёт материальные условия для применения этих технологий.
Для того чтобы были учтены все нюансы создаваемого «пространства библиотеки», при проектировании необходимо сотрудничество архитектора и работников библиотеки. Только так можно найти решение, при котором реальное пространство будет вмещать представляемое библиотечным работником пространство виртуальное.
Подобные решения были разработаны в советское время учёными-исследователями и архитекторами-практиками (М. Я. Гильман и Ф. Н. Пащенко; Л. Н. Голенок, О. В. Осипова; А. Р. Зимоненко и др.). Наиболее рациональные решения, отвечающие требованиям того времени, становились типовыми и были закреплены в нормах проектирования зданий библиотек. Проектирование на их основе ведётся не один десяток лет.
Новые услуги — новое пространство
В последние годы библиотечная деятельность претерпевает серьёзные изменения. Возрастает роль знаний и информации, требуется за всё более короткие сроки осваивать значительный объём знаний, технологии работы с ним. В современном городе люди имеют большой выбор путей и способов познания, и библиотеки активно ищут своих пользователей. Изучая их потребности, библиотеки включают в свою работу новые виды услуг (в том числе ранее им не присущих), внедряют новые технические средства. Изменения придают библиотеке индивидуальный, часто исключительный характер и образ. Библиотека с особым набором услуг выгодно отличается в глазах пользователей от подобных типовых учреждений. Однако введение новых видов услуг требует особого решения пространства для их осуществления. Индивидуальный образ библиотеки нуждается в индивидуальном подходе.
При столь интенсивном развитии библиотечного дела в стране, в сфере проектирования библиотечных зданий никаких значительных изменений не происходит. По-прежнему действуют стандарты, принятые в конце ХХ века. Основные из них:
• Нормали планировочных элементов жилых и общественных зданий. Библиотеки НП 5.4.1-74;
• Инструкция по проектированию библиотек СН 548-82;
• Указания по проектированию зданий и помещений библиотек ВСН 17-73;
• СНиП 2.08.02-89 «Общественные здания и сооружения».
Архитектурно-градостроительные требования были основаны на том положении, что определённая городская территория с рассчитанным числом жителей должна быть обеспечена заданным количеством библиотек. В условиях плановой экономики такой подход был эффективным. Наиболее важным показателем при разработке пространственно-планировочных нормативов была величина фондов. В действующей типологии библиотек связаны между собой назначение, территориальная принадлежность и объём фондов, заданы ограничения рабочей площади и строительного объёма, отдельных планировочных элементов. При дальнейшем формировании норм были выделены и описаны основные технологические процессы (организация хранения, обслуживание читателей и т. п.). Было проведено чёткое разделение зон и помещений библиотеки:
1. Зона обслуживания читателей:
• помещения для обслуживания читателя;
• помещения для административно-хозяйственного аппарата.
2. Зона служебно-производственная:
• помещения хранения;
• служебные и вспомогательные помещения.
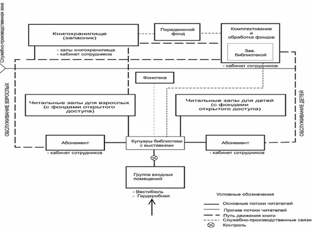
Для каждого типа библиотеки были составлены схемы взаимосвязи основных планировочных элементов. Такая схема была составлена, например, для небольших (IV тип) библиотек (схема 1).

Для каждого помещения были разработаны нормы: габариты, заданные расстановкой мебели, оборудования. На практике, площади и объёмы помещений определялись с учётом численности читателей и объёма фондов каждого отдела. Эти параметры задавались после разработки (совместно с работниками библиотеки) технического задания и затем выстраивались в планировочную структуру.
Учитывая изменения, которые происходят в библиотечном деле, в том числе в вопросах организации библиотечного пространства, актуальным становится более индивидуальный подход к каждой библиотеке. В этом случае удастся учесть всё многообразие видов деятельности, которые сегодня ведутся в библиотеке. Этот подход должен реализовываться в тесном сотрудничестве архитектора и работника библиотеки, который хорошо знаком с программой её работы. Также важно знать, насколько реализация тех или иных услуг возможна в рамках норм, существующих в практике проектирования.
Следует помнить о положительных сторонах нормативного проектирования. Подробные нормы обеспечивают чёткое соблюдение требований безопасности, упрощают и ускоряют процесс проектирования. Они позволяют закрепить наиболее удачные варианты, внедрять результаты исследований в области комфорта среды. Однако при организации пространства для видов деятельности, напрямую не связанных с документами, нужно опираться не на норматив объёма фондов и числа читателей, а на представление технологии этой деятельности и тех требований, которые она предъявляет к пространству.
На примере игровой деятельности библиотеки проанализируем, как это может быть реализовано.
Пространство для игры
Игра — это «возникающие спонтанно или создаваемые искусственно действия для развития каких-либо функций организма или качеств личности, закрепления достижения или снятия напряжения».3 Игра в библиотеке — особая форма познания. Она обладает рядом признаков, определяющих особенности её технологии, а следовательно, специфическими требованиями к организации пространства для игр. Признаки игры как деятельности:
• в игре важны как готовый вещественный результат, так и форма коммуникации;
• игра разворачивается не в «сюжете», а по поводу него, «поверх» формальной структуры действий;
• игра предполагает создание вымышленной, условной среды, замкнутого игрового пространства;
• игра носит неутилитарный характер;
• в игре используются специальные «игровые» предметы;
• игра имеет правила проведения;
• в игре одно из главных ощущений человека — свобода.
Существует целый ряд типологий игр. Они отражают всё многообразие типов игр. При формулировке требований к пространству следует обратить внимание на признаки, которые дадут представление именно о разнообразии технологий игр. Прежде всего, признаки целей участников действия (функционеров) и характера правил, задающих ограничения действий.
Признак цели лежит в основе типологии, предложенной Й. Хёйзингой, — культурологической триады игр. Её основные понятия: «paidia», «agon, «diagoge».** 4 В этой триаде отражено всё разнообразие целей функционеров. Различный характер правил и ограничений отражён в типологии, базирующейся на методологической триаде Ю. В. Громыко («play – game – performance»). В ней выделяют: спонтанное действие, при котором каждый следующий шаг участников непредсказуем («play»); действия по чётким правилам, где участники только воспроизводят заведённый ранее порядок («game»); игра творчества, поиска («performance»).
Правила, принципы взаимодействия создаются в сложившейся ситуации по договорённости людей. Игры проявляются в разных сочетаниях и изменяются в зависимости от социокультурных условий и уровня развития технических средств. Возникают также типы игр, описать которые можно через сочетание признаков уже указанных типов. В настоящее время развиваются два подобных типа: деловые игры (ДИ) и организационно-деятельностные игры (ОДИ).***
На основе этих типологий стало возможным создать типологию, которая отражает разницу технологий игр (табл. 1).

Стоит отметить, что из всего многообразия игр в библиотеке могут быть реализованы только те, что обладают следующими признаками:
• обязательное использование ресурсов библиотеки (документов, артефактов);
• проведение игровых действий в библиотеке — всегда организованное мероприятие, проходящее в соответствии с заранее определёнными правилами и сценарием;
• общая цель — воспроизводство культуры, передача культурного опыта, ценностей, традиций.
Следующим шагом при формулировке требований к пространству является описание технологии. В качестве примера возьмём один из типов игр, виды которого часто используются в детских библиотеках — «paidia — performance». Это разного рода праздники, вечера, встречи, дискуссии. Представление технологии строится на описании последовательности совершаемых действий, шагов. Любая игра состоит из нескольких обязательных этапов. Подготовительный этап включает подготовку места игры, средств игры (игровые предметы), участников, разработку сценария, сюжета и правил. Основной этап подразумевает разворачивание сюжета, проживание игровой ситуации. Этап подведения итогов предполагает осознание результатов, целей, достигнутых участниками.
При описании технологии мы обнаружим, что все проводимые действия обеспечиваются определённым набором функциональных мест. Для выбранного типа игры существует свой перечень функциональных мест. Таковыми являются: место разработки темы; создания вспомогательных средств; информирования участников; опроса участников; выступления организаторов, свободной коммуникации участников; представления темы; размещения играющих (зрителей); организатора (специалиста, гостя); подготовки специалиста; представления; размещения дополнительного материала; доступа к ресурсам. Из описания действий, шагов и функциональных мест становится ясно, какие предметы, оборудование (их расположение и количество) нужны, какое пространство они будут занимать. Это задаёт характеристики помещений, требующихся для каждого отдельного шага и для игры в целом. Значения характеристик и диктуют требования к пространству игры. Пространство характеризуется следующими признаками: состав оборудования (оснащённость), величина помещения и возможность совмещения помещений. Оснащённость — характеристика внутренней организации пространства. С точки зрения оснащённости, все действия игры обеспечиваются ограниченным количеством наборов оборудования (табл. 2). Величина помещения — характеристика, задающая объём, габаритные размеры помещения. Она определяется необходимостью разместить определённое число участников как на каждом отдельном шаге игры, так и игры в целом. Может потребоваться пространство для одного человека; для небольшой группы (2–7 чел.); для группы (8–30 чел.); для массы людей (31–50 чел.) и для значительной массы людей (51–100 чел.). Возможность совмещения помещений — характеристика, задающая взаиморасположение помещений (зон помещений), предназначенных для различных действий игры. Она определяется тем, возможно ли на данном шаге игры совмещение разных действий в одном пространстве или нет.

На основе характеристик помещений создаётся набор помещений для игрового действия определённого типа. Его удобно представить в виде технологической схемы, в которой прослежены связи помещений в действиях игры* (схема 2). Подобные схемы составляются и для других типов игр.5

Теперь, имея детальное представление о требованиях игрового действия к пространству, можно оценить, насколько нормы проектирования библиотек им соответствуют. При этом для разных типов библиотек состав нормативных помещений, пригодных для игр, будет разным. Помещения, определённые для проектирования, имеют два статуса: одни из них являются «необходимыми», другие — «возможными». В городских библиотек для игр могут использоваться:
• помещение абонемента;
• помещение научно-методического отдела;
• помещение отдела методической и библиографической работы;
• читальный зал выставки новых поступлений;
• общий читальный зал;
• аванзал читальных залов;
• аванзал абонемента;
• лекционный зал-аудитория;
• комната лектора (при зале);
• кулуары (при зале);
• помещение для кружковой работы;
• зона отдыха посетителей;
• помещение отдела комплектования;
• помещение отдела обработки и организации каталогов;
• помещения отдела репродуктивно-множительной техники;
• комната художника;
• комната общественных организаций;
• помещения детского отдела;
• читальные залы (2 зала);
• абонемент (2 зала);
• помещение массовой работы;
• зона отдыха.
В виде технологических схем с характеристиками, соответствующими требованиям игр, эта группа выглядит так, как показано на схеме 3.

Варианты трансформации
Однако при возможности использования такого большого количества помещений всё же не создаётся условий для полноценной реализации технологий разных типов и форм игровой деятельности (полного соответствия требованиям технологии нет ни для одного типа игр).
В ряде случаев отсутствуют нужные помещения (с нужными значениями характеристик) или нет необходимых связей, соседства помещений.
В условиях главенства норм и одновременно необходимости индивидуального подхода целесообразно осуществить обновление нормативов, стандартов, учитывая при этом разработки технологий деятельности современной библиотеки.
Когда проведение игр является одним из видов деятельности библиотеки, а нормы проектирования не позволяют её осуществлять, можно предложить три варианта решения проблемы. Разные варианты определяются действиями, которые обусловлены элементами нормативной функционально-планировочной структуры. Она изменяется в основном в части помещений обслуживания пользователей. Предполагаемые варианты могут быть представлены в трёх моделях функционально-планировочной структуры библиотеки: «перефункционализации», «реконструкции», «библиотеки нового типа».
Первый вариант — модель «перефункционализации» — подразумевает минимальное воздействие на функционально-планировочную структуру, заданную нормами. В нём соответствие требованиям игр можно достигнуть за счёт максимально гибкого зонирования пространства; создания возможностей быстрого нетрудоёмкого переоборудования помещений и группы помещений; расширения возможностей перефункционализации. Те помещения или зоны, которые в силу распространения новых технологий, становятся менее востребованными, могут менять назначение и быть ориентированными на игровую деятельность. Например, комната художника может быть несколько меньше, читательские каталоги займут не такое значительное пространство, как раньше, и т. д. Такой вариант актуален при изменении структуры уже существующих зданий библиотек. Однако такое изменение содержит не только плюсы, но и минусы: оно позволяет создать условия только для некоторых типов игр; при проведении игр осуществление других форм обслуживания оказывается затруднено или становится невозможным.
Суть второго варианта — модели «реконструкции» — заключается в создании такой структуры, которая позволит проводить игровые действия, не затрудняя оказание других видов услуг. В этом случае предполагается изменение числа, объёмов и площадей помещений библиотеки. Изменяется назначение части помещений и принципа зонирования пространства библиотеки. В функционально-планировочной структуре выделяются четыре зоны:
• служебно-производственная;
• зона «неигровых» действий обслуживания;
• зона «сочетания игровых и неигровых» действий;
• зона «игровых» действий.
Таким образом, для игровых действий выделяется значительная по площади самостоятельная зона помещений (которые невозможно создать только за счёт переоборудования существующих), а также предусматривается возможность использования во время игры часть помещений, в которых проходит и обслуживание пользователей. Ряд помещений продолжает работать по назначению и при использовании во время игрового действия. Это читальные залы (здесь осуществляется работа с ресурсами участников игры и других пользователей), зона отдыха, аванзалы, вестибюли. При использовании этой модели создаются условия для всех типов игр, однако вводится ограничение по количеству играющих. Это ограничение зависит от вместимости помещений зоны «сочетания игровых и неигровых» действий.
Этот вариант может быть оптимальным при реконструкции здания библиотеки и при создании библиотеки, в деятельности которой равно значимы игровые и неигровые формы работы.
Третий вариант — модель «библиотека нового типа» — также предполагает значительное изменение нормативной функционально-планировочной структуры. В этом случае для проведения игровых действий формируется самостоятельная зона. В неё входят все необходимые для проведения игры помещения. Модель предполагает формирование функционально-планировочной структуры из трёх зон:
• служебно-производственной;
• «игровой» зоны;
• «неигровой» зоны.
Данный вариант обеспечивает максимальную свободу для предоставления в библиотеке всего многообразия услуг. Схема функционально-планировочной структуры данного варианта представлена на схеме 4.

Важно, что предложенные варианты решения проблемы несоответствия библиотечного пространства требованиям игр основаны на существующих нормах проектирования.
Подводя итоги, следует отметить, что предусмотренная при создании норм массовая образовательная и воспитательная работа предполагала использование только таких форм, как занятия, уроки, лекции. Сегодня перечень мероприятий может быть много шире. Игры в библиотеке обладают специфическими особенностями и предъявляют определённые требования к организации пространства, которые зависят от технологии игры. Для реализации технологии требуются специальные помещения, имеющие определённые характеристики.
Оценивая возможности осуществления игровой деятельности в условиях нормативной функционально-планировочной организации библиотек, следует сказать, что заданная структура не позволяет полностью реализовывать технологию разных типов и форм игр. Это отражается в неполном составе требуемых помещений, в отсутствии прямого сообщения между некоторыми помещениями. При значительной реорганизации ряда помещений и упрощении технологии игр в нормативной структуре возможно проведение игровых действий ряда типов (paidia — game, paidia — performance, agon — game, agon — performance, diagoge — game, giagoge — performance). Но при этом количество участников ограничено, а предоставление других видов услуг затруднено. Однако существующие нормы обладают потенциальными возможностями и учитывают требования безопасности, от соблюдения которых нельзя отказаться. При условии детального представления технологии игровых действий разных типов можно предположить различные варианты изменения нормативных положений. В будущем это позволит шире использовать игры в библиотеках и повысит эффективность подобной формы работы с пользователями.
Изменение на уровне функционально-планировочной структуры возможно в трёх вариантах: модель «перефункционализации»; модель «реконструкции»; модель «библиотеки нового типа».
Два последних предполагают значительные изменения норм проектирования, и именно они позволят создать приемлемые условия для всего диапазона игровых действий.
Екатерина Владимировна Федорова, ООО «Оргтехстрой XXI век», архитектор, магистр архитектуры, Москва
* Функция – это роль, которая выполняется субъектом или объектом в определённой сфере деятельности.
** Paidia — детская забава, потеха, шалость, «удовольствие без пользы и урона»;
Agon — круг, ринг, арена состязания и вместе с тем — безысходность (gon — угол), то, что не позволяет игроку покинуть круг и выйти из игры, не потеряв чести и уважения в кругу играющих и свидетелей;
Diagoge — противоборство двоих, соперничество и вместе с тем постижение пути, продвижение по пути двоих, «путь на двоих» — проигравшего и побеждённого, <…> даже сыгравших вничью, но постигших в игре нечто важное для себя. <…> Играют не против кого-то, а с кем-то.
*** ДИ представляет собой коллективные действия, суть которых в отработке реальных проблем и принятии связанных с ними решений в заданных проблемных ситуациях.
**** Под функциональным местом понимается место в пространстве, предназначенное для определённого количества участников, оснащённое оборудованием и используемое на одном или нескольких шагах игры.
***** На схеме тоном выделены помещения «игровой зоны»; тип оборудования показан знаками (согласно табл. 2); в каждом помещении указана вместимость; в этой зоне разные типы стрелок соответствуют разным потокам функционеров: пунктирная — движение в процессе игры специалистов, гостей, исследователей; контурная — движение организаторов; сплошная — движение играющих.
1 Морфология культуры: структура и динамика / Г. А. Аванесова, В. Г. Бабаков, Э. В. Быкова и др.: учеб. пособ. для вузов. — М.: Наука, 1994. — С. 271.
2 Там же.
3 Газман О. С. О понятии детской игры // Игра в педагогическом процессе: Межвузовский сб. науч. тр. — Новосибирск: Изд. НГПИ, 1989. — С. 3–11.
4 Там же.
3 Хёйзинга Й. Homo Ludens. Человек играющий / пер. с нидерл. В. В. Ошиса. — М.: ЭКСМО-Пресс, 2001. — 352 с.
5 Котенкова Е. В. Влияние игровой деятельности на функционально-планировочную организацию библиотек: Дис. … магистр. — Новосибирск., 2007. — 122 с.

