Нормализация отраслевой структуры библиотечного фонда или Как определить реальную книгообеспеченность

Поводом для написания данной статьи послужил ряд очередных обращений к автору. Существуют ли ныне нормативы, в соответствии с которыми определяются объёмы отраслевых отделов в фонде или, соответственно, объёмы закупок литературы различного отраслевого содержания? Вопросы правомерны: требуются гарантии эффективности средств, вложенных в комплектование.
Действительно, в 70–80-е гг. ушедшего века предпринимались попытки осуществлять государственное регулирование отраслевого состава фондов массовых библиотек, упорядочение структуры их текущего комплектования.
Состав фонда регламентировался «Примерным положением об организации единой сети массовых библиотек»: «В книжном фонде центральной библиотеки должно быть сосредоточено, примерно, 55–60% литературы по отраслям знаний, 40–45% художественной и детской; в библиотеках-филиалах 35–40% литературы по отраслям знаний, 60–65% художественной и детской».1
Структуру текущего комплектования определял совместный приказ двух ведомств, ответственных за культуру и книгоиздание: «…При планировании товарооборота библиотечным коллектором и в работе по заказообороту руководствоваться следующими примерными нормативами: ежегодные поступления в фонды библиотек должны составлять в экземплярном выражении от общей реализации книг библиотечными коллекторами по общественно-политической литературе — 15–17%, сельскохозяйственной и технической — 6–7%, естественнонаучной — 9–10%, художественной и детской — 50–55%».2
Реализация этих намерений в значительной мере облегчалась тем, что единственным, по существу, источником комплектования библиотек была система библиотечных коллекторов и руководящие указания адресовались именно этой системе. Общий их смысл состоял в том, чтобы в какой-то мере противостоять попыткам книготорговой сети сбыть библиотекам наименее ходовую часть издательской продукции.
Некоторые библиотековеды в те времена справедливо считали, что подготовка указанных постановлений является хорошим примером того, как внедряются в практику результаты научных исследований. Установленное процентное соотношение, по-видимому, соответствовало лучшему уровню обращаемости фондов библиотек в целом. Положительная сторона системы заключалась в том, что библиотекарь мог сигнализировать об отклонении отраслевого состава получаемой из коллектора литературы от предписанных процентов. Однако роль библиотекаря как лица, принимающего самостоятельные решения по комплектованию, сводилась к нулю. Надо признать, что при такой системе она и не могла быть иной.
Среднеарифметические показатели, рекомендованные для всей библиотечной сети в целом, не могли и не могут быть пригодными для эффективного управления составом фондов конкретной библиотеки. Слишком велико различие в информационных потребностях населения: в разных экономико-географических зонах, в областях, различающихся этническим составом, особенностями национальной культуры. Имеют значение и плотность населения, и удалённость библиотек от крупных центров библиотечного обслуживания и т. д., и т. п. Представление о том, в какой мере должны быть укомплектованы те или иные разделы фонда, складывается у библиотекаря в процессе повседневной работы по многим аспектам. Исключительное значение имеют состояние разделов фонда, читательский спрос на данный момент и в обозримом будущем, знание книжного рынка. Учитываются физическая изношенность изданий, разные темпы устаревания литературы по разным отраслям. Задача привязки состава фондов к местным условиям пока ещё сохраняет актуальность.
Методика оптимизации отраслевой структуры фонда существует. Цель данной статьи — способствовать её пониманию и распространению. Что легло в основу методики?
Усилиями ряда отечественных библиотековедов 1970-х гг. выявлена определённая статистическая закономерность в формировании показателей книгообеспеченности пользователей массовых библиотек Российской Федерации. Впоследствии, в 1980-е годы и позднее, существование этой закономерности было подтверждено трудами других исследователей. Более того, закономерность обрела математическое выражение. По мере увеличения числа абонентов их книгобеспеченность (при прочих равных условиях) понижается, но не пропорционально их числу, а по закону, отражённому в гиперболической функции. Кривая линия типа гиперболы отображается функцией

Поскольку аргумент функции (первичные данные) находится под степенью, то и функция этого типа называется степенной.
Распределение показателей на графике принимает вид кривой, имеющей тенденцию к выполаживанию. (Выполаживание — от слова «пологий», не крутой, понижающийся постепенно, незаметно — свойство кривой линии, постепенный переход её в более пологую линию, ослабление крутизны.). При большей пологости расстояние между соседними значениями — например, показателями книгообеспеченности — меньше, чем если бы кривая была более крутой. Стремясь к некоторому выравниванию показателей (полное выравнивание невозможно в принципе), мы можем достичь их некоторой нормализации относительно друг друга. Отсюда вытекают и название исследуемого способа, и наименование нашей статьи.
Смягчение, либо, напротив, усиление крутизны кривой достигается путём изменения показателя степени n. Характер выполаживания опускающейся кривой уточняем с помощью статистического исследования данных. Вычисляем значение показателя степени и величину сопутствующих коэффициентов.
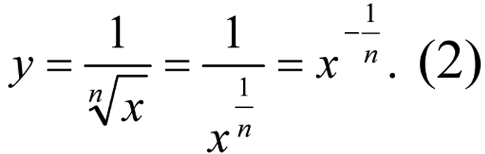
Один из приёмов выполаживания — использование переменной величины x в качестве подкоренного выражения: , где n — показатель степени корня. Таким образом, в случае более пологой кривой, по сравнению с (1) имеем:

Рассмотрим интересующие нас показатели работы на примере муниципальных библиотек в регионах Центрального федерального округа (раздельно городских и сельских) в 2009 г.3 — табл. 1 и 2.

В обеих таблицах данные упорядочены (ранжированы) по показателю числа жителей в расчёте на 1 библиотеку. Это дало возможность сопоставить графики движения нескольких важных показателей: числа выдач на одного жителя и книгообеспеченности жителя (рис. 1 и 2). На рис. 1 видно, что при увеличении числа городских жителей в расчёте на одну библиотеку величина их книгообеспеченности понижается по гиперболическому закону, в данном случае выраженным

На рис. 2, соответственно, для сельских жителей книгообеспеченность уменьшается по закону

Такова именно многолетняя практика комплектования библиотек, а не математические ухищрения. То есть закономерность пробивает себе дорогу стихийно, именно сквозь разнообразные управленческие решения библиотечного сообщества по формированию фондов массовых библиотек на протяжении многих лет и не зависит от индивидуальных действий комплектаторов.

Более чем уверен, найдутся желающие возразить, что в этом нет никакого открытия: всем известно, что в показателе книгообеспеченности число жителей стоит в знаменателе (чем больше знаменатель, тем меньше дробь). Закономерность обнаруживается, когда все показатели приводятся к числу библиотек, то есть даются в расчёте на одну библиотеку. Пользователи конкретной библиотеки имеют ведь дело не со всем совокупным библиотечным фондом региона, а с фондом данной библиотеки. Поэтому оценивать необходимо не вообще книгообеспеченность по более или менее громадной территории, а реальную книгобеспеченность с учётом плотности библиотечной сети.
Возможно, то обстоятельство, что число библиотек ранее не всегда принималось, да и сейчас должным образом не принимается во внимание при оценке обеспеченности населения библиотечными фондами, и послужило причиной того, что закономерность не была исследована так тщательно, как того заслуживает. Примерно 20 лет назад было найдено математическое объяснение парадокса: при большем числе пользователей и в то же время при меньшей книгообеспеченности возможности выбора литературы для пользователей возрастают.4
Обратная зависимость между книгообеспеченностью и численностью населения в обслуживаемой зоне подтверждается также коэффициентами корреляции: –0,76017 для села (существенная отрицательная связь), –0,308 для города (менее существенная отрицательная связь). Различие вполне объяснимое: городские жители имеют возможность пользоваться не только муниципальными библиотеками и не только библиотеками (а это действительно общеизвестно).
Нет ничего удивительного и в том, что между реальной книгообеспеченностью (как мы её определили) и числом книговыдач в расчёте на жителя имеется существенная положительная связь: коэффициенты корреляции 0,691 (в городе) и 0,728486 (на селе). Графики «читаемости» жителя и книгообеспеченности на рис. 1 и 2 практически вторят друг другу, как в городе, так и на селе. Величина и содержание обоих этих показателей взаимозависимы. Трудно с ходу определить, какой из них и в какой мере является подчинённым, какой управляющим. Но мы, учитывая цели данной статьи, выделим аспект управления объёмом фонда со стороны книговыдачи из этого фонда, а именно показателя числа выдач в расчёте на жителя.
Пора заканчивать артиллерийскую подготовку к атаке на задачу нормализации величины частных отделов в фонде, пусть это будут отраслевые отделы, как нас просят. Найденную закономерность можно применить для расчёта отраслевой структуры фонда или для структуры фонда по иным категориям документов. Величину отдела необходимо рассчитывать как находящуюся в прямо пропорциональной зависимости от спроса на литературу из этого отдела ≈ книговыдачи (не требует доказательств). Обозначим Wi — объём книговыдачи из i-того отдела.
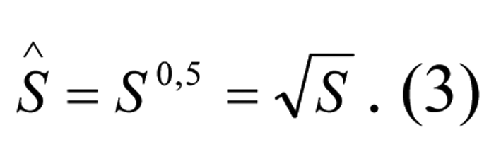
Далее, величина отдела находится в обратно пропорциональной зависимости от некой величины, отражающей число читателей этого отдела. Из того, что сказано выше, это число читателей, которое находится под знаком n-ой степени. Специальное исследование с помощью эконометрических методов показало, что n=0,5 (показатель степени квадратного корня).5 То есть мы имеем дело с величиной

Назовём её нормализованным показателем числа читателей. (Не следует понимать этот термин как ограничение числа читателей, имеющих доступ к фонду, отделу фонда!)
Наконец, вам ничего не напоминает отношение

Верно, напоминает. Это похоже на формулу читаемости пользователей
i-того отдела. Но поскольку число читателей в знаменателе дроби находится под знаком степени 0,5, мы имеем дело не с читаемостью как таковой, а с нормализованным показателем читаемости. (Не следует как-либо связывать этот термин с каким-либо ограничением читаемости, ограничением выдачи литературы контингенту читателей i-того отдела!)
Формула (4) применяется к каждому из отделов фонда. То есть по каждому отделу должны быть известны объём книговыдачи и число фактических читателей данного отдела. Это даёт возможность вычислить нормализованные показатели читаемости по каждому отделу. Тогда удельный вес данного отдела пропорционален величине нормализованного показателя читаемости. На этой основе в упомянутой только что работе (с. 98) выведена формула структуры фонда:

где di — удельный вес отдела в процентах к объёму фонда в целом;
m — число отделов. Разбивка фонда (в статистическом смысле) на отделы, выделение укрупнённых или, напротив, более мелких отделов — в руках библиотекаря. Он исходит из важности тех или иных частей фонда для пользователей. При определении числа читателей каждого отдела важно помнить, что одни и те же пользователи могут обращаться к разным отделам, поэтому случайное или преднамеренное суммирование этих количеств может (но не обязательно) дать результат, больший, чем общее число зарегистрированных пользователей, и это в какой-то мере говорит о разносторонности интересов.
При исследовании подсобного фонда одного из читальных залов Российской национальной библиотеки в результате электронной обработки читательских требований нам удалось получить данные о числе конкретных читателей отраслевых отделов, а также о величине книговыдачи из этих отделов. Исследование основывалось на выборке, полученной в течение двухнедельного периода, поэтому исходные данные в табл. 3 приведены как относительные, а не абсолютные. Для расчёта нормализованной структуры, естественно, использовались натуральные величины. Но на рисунке лучше сопоставлять относительные величины.

Графическая иллюстрация соотношения между фактической и рекомендованной структурой содержится в рис. 3. Видно, что график рекомендованной структуры занимает промежуточное положение между графиками числа пользователей и размерами читательского спроса. Выравнивание отраслевой структуры на основе нормализованного показателя читаемости позволяет избежать явных диссонансов между показателями книгообеспеченности литературой различного отраслевого содержания.

Глубокое обоснование расчётов по структуре фонда возможно. Для применения соответствующей методики необходимо:
1) желание и умение работать с математическим аппаратом;
2) тщательное предварительное изучение спроса на отраслевые разделы фонда, измерение показателей не только книговыдачи по каждому отраслевому разделу, но и числа конкретных читателей, являющихся реальными пользователями отраслевых разделов;
4) владение методами выборочного исследования;
3) обработка данных на компьютере.
В заключение напомним, что в данной работе мы попытались ввести в научный обиход понятия реальной книгообеспеченности и нормализованного показателя читаемости.

Вячеслав Васильевич Шилов, старший научный сотрудник научно-исследовательского отдела библиотечных фондов РНБ, Санкт-Петербург

1 «Положение» утверждено Секретариатом ВЦСПС и коллегией Министерства культуры СССР 20 декабря 1977 г., № 23/149.
2 О мерах по дальнейшему улучшению комплектования и использования книжных фондов библиотек: Приказ М-ва культуры РСФСР и Госкомиздата РСФСР от 30 нояб. 1982 г. № 579/311.
3 Общедоступные библиотеки Российской Федерации в цифрах / Министерство культуры Российской Федерации. Гл. информ.-вычисл. центр. — М., 2010. — 2009 год. — 187 с.
4 Рукина Т. И., Шилов В. В. О некоторых факторах формирования фондов национальной литературы в государственных массовых библиотеках России: (По материалам сер. 1980 гг.) // Библиотечные фонды в контексте общественного переустройства: Сб. науч. тр. / РНБ. — СПб., 1992. — С. 168–189.
5 Шилов В. В. Численные задачи управления текущим комплектованием библиотечных фондов: (Постановка и решение). — СПб., 1992. — 151 с.